【名古屋大学】価格設定のしくみを解明 ~店舗の多い企業ほど「値上げしても客が逃げない」理由~
(最終更新日:
)
名古屋大学大学院経済学研究科の花薗 誠 教授と工藤 教孝 教授による研究グループは、開発した数理モデルを解析することによって、店舗数の多い企業は少ない企業よりも高い価格を設定可能であることを数学的に証明し、その仕組みを解明しました。
他企業を圧倒する数の自動販売機を設置している清涼飲料、ある地域に集中的に立地するコンビニエンスストアやコーヒーショップ、ある地域で最大規模のタクシーなど、実は競合他社よりも高い価格設定になっていることが多いですが、そのメカニズムは不明でした。伝統的な経済理論の枠組みでは、供給量を増やすことは価格の下落につながるというのが常識だったからです。
同研究グループは、サーチ理論という数理モデルの構造に着目し、多数の店舗を持つ企業同士が価格競争を行う環境を表現できるような新しい数理モデルの開発に成功しました。その結果、店舗数が増えるほど、消費者は競合他社に遭遇しにくくなるため、高値であっても目の前の取引を受け入れやすくなる結果、店舗数の多い企業が少ない企業よりも高い価格設定を行うという定理を発見し、数学的に証明しました。
この研究成果は価格設定の根本的な解明に迫るものであり、競争政策を立案する上での指針となるだけでなく、世界で進む物価上昇を産業レベルで解明することにつながることが期待されます。
本研究成果は、2024年3月29日付国際的な経済学専門誌「International Economic Review」にオンライン版が掲載されました。
他企業を圧倒する数の自動販売機を設置している清涼飲料、ある地域に集中的に立地するコンビニエンスストアやコーヒーショップ、ある地域で最大規模のタクシーなど、実は競合他社よりも高い価格設定になっていることが多いですが、そのメカニズムは不明でした。伝統的な経済理論の枠組みでは、供給量を増やすことは価格の下落につながるというのが常識だったからです。
同研究グループは、サーチ理論という数理モデルの構造に着目し、多数の店舗を持つ企業同士が価格競争を行う環境を表現できるような新しい数理モデルの開発に成功しました。その結果、店舗数が増えるほど、消費者は競合他社に遭遇しにくくなるため、高値であっても目の前の取引を受け入れやすくなる結果、店舗数の多い企業が少ない企業よりも高い価格設定を行うという定理を発見し、数学的に証明しました。
この研究成果は価格設定の根本的な解明に迫るものであり、競争政策を立案する上での指針となるだけでなく、世界で進む物価上昇を産業レベルで解明することにつながることが期待されます。
本研究成果は、2024年3月29日付国際的な経済学専門誌「International Economic Review」にオンライン版が掲載されました。
【本研究のポイント】
・店舗数の規模が異なる多数の企業が価格競争を行う数理モデルを開発した。
・店舗数の多い企業は消費者にとって「遭遇しやすい」という性質を持つ。
・店舗数の多い企業の店舗をひとつ通り過ぎても結局同じ企業の別店舗が現れることになる可能性が高いため、消費者は「より安い店を探す」という行為が無駄足になりそうだと理解する。
・上記のメカニズムによって、店舗数の多い企業ほど、より高い価格設定を行っても消費者が逃げにくいことを数学的に証明した。
・本研究成果は、競争政策を立案する上での指針となるだけでなく、世界で進む物価上昇を産業レベルで解明することにつながることが期待される。
・店舗数の多い企業は消費者にとって「遭遇しやすい」という性質を持つ。
・店舗数の多い企業の店舗をひとつ通り過ぎても結局同じ企業の別店舗が現れることになる可能性が高いため、消費者は「より安い店を探す」という行為が無駄足になりそうだと理解する。
・上記のメカニズムによって、店舗数の多い企業ほど、より高い価格設定を行っても消費者が逃げにくいことを数学的に証明した。
・本研究成果は、競争政策を立案する上での指針となるだけでなく、世界で進む物価上昇を産業レベルで解明することにつながることが期待される。
【研究背景と内容】
近年私達の身の回りで様々なモノやサービスの値上げを経験する機会が増えています。このような価格変化は「円」の価値が減少する(すなわちインフレが発生する)ことで起きると一般に理解されていますが、それだけではありません。小麦粉の仕入れ価格が上がったとしても、パン屋さんやラーメン屋さんが価格を引き上げることができるかどうかは、値上げをしても消費者が逃げないかどうかにかかっているのです。その意味での、企業が持つ価格引き上げ能力を経済学では「市場支配力
(Market Power)」と呼び、その源泉については長く研究の対象となっています。
街中でタクシーを拾う際、その街でいつも見かけるタクシーの初乗り運賃が実は他社よりもやや高く設定されている、という経験はないでしょうか。自動販売機の価格設定も、最大手の清涼飲料の方が強気の価格設定になっているように思えませんか?このように、ほとんど同じような商品やサービスであっても異なる価格が設定されている例が私達の身の回りには多数ありますが、伝統的な経済学では「一物一価の法則」と呼ばれる力学に支配されているため、競争圧力によってタクシー運賃は均一になってしまい、市場支配力を持つ企業を分析することができないのです。
市場支配力と企業規模の関係を分析するため、本研究グループは、「サーチ理論(注1)」と呼ばれる分析の枠組みを用いた新しい数理モデルを開発しました。伝統的な経済理論では、暗黙のうちに消費者は瞬時に全ての企業の価格を目の前で比べて最安値で取引機会を得られる、としていたところを、本研究グループは、取引のチャンスは確率的にしかやってこないという設定に変更することで、企業規模によって異なる価格設定を行う企業が共存できる環境を作り出すことに成功しました。
開発した数理モデルの性質を調べた結果、同一商品であっても店舗数の多い企業ほど高い価格を設定できる、ということを証明し定理としてまとめました。最大手企業は消費者にとって「目立つ」存在です。仮に最大手のタクシーを1台やり過ごして「すこし安い他社のタクシー」をあてにして待っていたとしても、結局次々やってくるのは最大手のタクシーばかりというのはよくあることです。この事実が消費者を「待っても無駄」という状態にさせることで、最大手企業は安心して価格を引き上げることができるのです。このような結果を踏まえると、企業が特定の地域に集中的に店舗を増やすのは、単に物流の効率化だけが目的ではなさそうだ、と考えるべきでしょう。
【成果の意義】
本成果は寡占的市場における価格設定に重要な示唆を与えるものであり、競争政策を立案する上での指針となるだけでなく、世界で進む物価上昇を産業レベルで解明することにつながることが期待されます。
本研究は、2020年度から始まった科学研究費基盤研究(B)『市場支配力とマクロ経済:サーチ理論による産業組織、景気変動と格差の分析』(20H01476)の支援のもとで行われたものです。
本研究は、2020年度から始まった科学研究費基盤研究(B)『市場支配力とマクロ経済:サーチ理論による産業組織、景気変動と格差の分析』(20H01476)の支援のもとで行われたものです。
【画像説明】
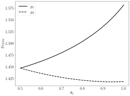
図1 本研究チームが開発した数理モデルを「規模の異なる2企業」という設定でシミュレーションした結果をグラフにしたもの。横軸は最大手企業の相対的な規模を表す。0.5 の時にはライバル企業と同じ規模なので価格は両者で同一となるが、1に近づくにつれて最大手企業の価格p1 がライバル企業の価格p2 よりも高くなっていくことがわかる。
図2 本研究チームが開発した数理モデルを「最大手企業1社と無数の零細企業」という設定でシミュレーションした結果をグラフにまとめたもの。左上図と図1を比較すると、最大手企業の規模が拡大するにつれて、最大手だけでなく零細企業の価格も上昇していることがわかる。実は、零細企業の場合、大企業の市場支配力に「タダ乗り」して自社の価格を引き上げることが可能であることが判明した。タダ乗りの結果、大企業よりも高い利益を得ることに成功している(右上図の点線が零細企業の利益)。しかしながら、最大手企業の規模拡大に従って取引の総量が減少(左下図)し、消費者が得る社会厚生も減少(右下図)してしまう。
図3 本研究チームが開発した数理モデルを「ランダムに生成した企業数と規模分布」の設定で1万回のシミュレーションを行った結果をまとめたもの。実務で市場の競争度を測るハーフィンダール・ハーシュマン指数(HHI)(
注2)を横軸にとって、他の指標との関係をシミュレーションにより明らかにした。左上図では、実務上利用されているハーフィンダール・ハーシュマン指数がモデル上の経済における社会厚生の代理変数として機能していることが明らかになった。左下図はハーフィンダール・ハーシュマン指数が上昇して独占度が上がるにつれて市場での平均価格が上昇していることが分かる。右下図の縦軸は価格のちらばりを表す。HHI = 1の時は1社による独占なので価格の分散はゼロになる。HHI = 5000は対称な2企業による複占となるため価格が同じになるためやはり分散ゼロである。左上図と比べると、価格の散らばり具合と経済厚生に明確な関係は認められない。【用語解説】
注1)サーチ理論:
相応しい取引相手や望ましい取引条件は費用をかけて探索する必要があるという、経済取引における摩擦をモデル化した経済理論。就業・失業を論じる労働経済学、貨幣の機能を論じる貨幣経済学、消費者需要が摩擦に影響を受けると考え市場競争を論じる産業組織論など、経済学の多くの分野で用いられている。
相応しい取引相手や望ましい取引条件は費用をかけて探索する必要があるという、経済取引における摩擦をモデル化した経済理論。就業・失業を論じる労働経済学、貨幣の機能を論じる貨幣経済学、消費者需要が摩擦に影響を受けると考え市場競争を論じる産業組織論など、経済学の多くの分野で用いられている。
注2)ハーフィンダール・ハーシュマン指数(HHI):
ある市場における競争度を測る指標で、0から10000までの値を取る。例えば、ある地域のビール販売が1社に独占されている場合、100%を2乗した10000がHHIの値となる。逆に、文字通り無数の企業がビールを提供しているならば、各社の市場シェアが0になるため、HHIも0になる。シェアが同じ2企業いる場合は、HHI=50の2乗+50の2乗=5000となる。
【論文情報】
雑誌名: International Economic Review
論文タイトル: Prominence and Market Power: Asymmetric Oligopoly with Sequential Consumer Search
著者: Makoto Hanazono (名古屋大学経済学研究科) and Noritaka Kudoh (名古屋大学経済学研究科)
DOI: 10.1111/iere.12704
URL: https://onlinelibrary.wiley.com/doi/10.1111/iere.12704
論文タイトル: Prominence and Market Power: Asymmetric Oligopoly with Sequential Consumer Search
著者: Makoto Hanazono (名古屋大学経済学研究科) and Noritaka Kudoh (名古屋大学経済学研究科)
DOI: 10.1111/iere.12704
URL: https://onlinelibrary.wiley.com/doi/10.1111/iere.12704
本件に関するお問い合わせ先
名古屋大学広報課
- TEL
- 052-558-9735
- FAX
- 052-788-6272
- nu_research@t.mail.nagoya-u.ac.jp