ページ上部

森林総合研究所と日本獣医生命科学大学が共同でアライグマにおけるマダニの寄生状況を調査 ― より多くのマダニを運ぶアライグマはオス、顔と耳に集中するマダニ寄生

森林総合研究所と日本獣医生命科学大学が共同でアライグマにおけるマダニの寄生状況を調査 ― より多くのマダニを運ぶアライグマはオス、顔と耳に集中するマダニ寄生
国立研究開発法人森林研究・整備機構森林総合研究所(茨城県つくば市) と日本獣医生命科学大学(東京都武蔵野市)は、神奈川県三浦半島のアライグマにおけるマダニの寄生状況を詳しく調査し、オスのアライグマがより多くのキチマダニを運び、特に冬に寄生するマダニが増加することがわかった。また、マダニはアライグマの顔と耳に集中して寄生していることも確認された。これらは、アライグマにおけるマダニ調査を定量的で簡便に行う方法を提案する成果となる。本成果は、6月6日に日本哺乳類学会の発行する『Mammal Study』で公開され、Vol. 49 (3)に掲載された。
 アライグマは、日本ではペットとして北米から輸入された個体が野生化し、外来種として定着。在来種を捕食して在来生態系への影響を及ぼすほか、多様な環境に適応するアライグマは都市部に定着して、家屋侵入などの被害を起こすことが知られている。さらに、近年は感染症を媒介するマダニの宿主として機能していることが示されている。

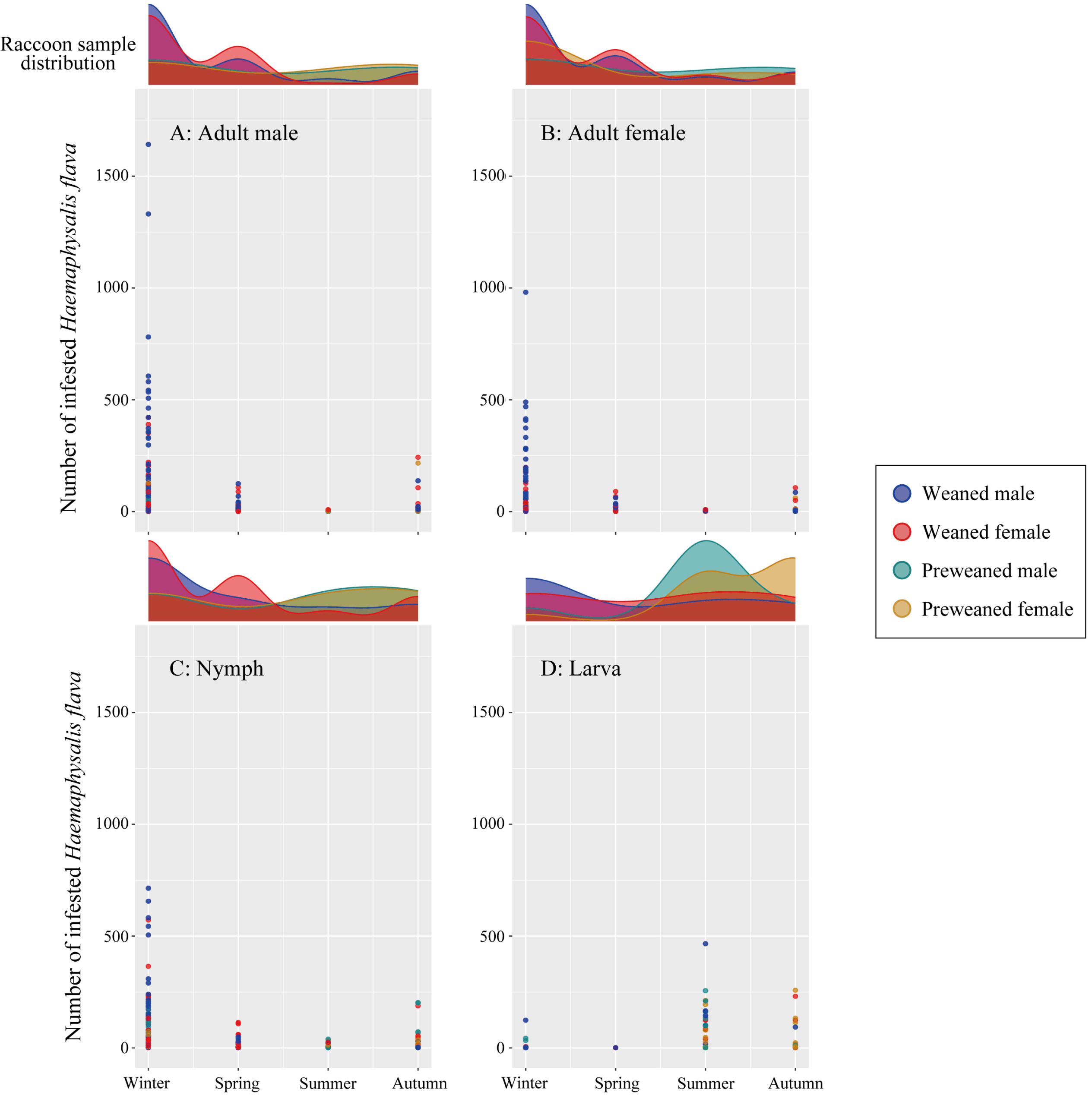
 そこで、森林総合研究所と日本獣医生命科学大学の野生動物学研究室は、神奈川県三浦半島のアライグマにおけるマダニの寄生状況を詳しく調査。その結果、オスのアライグマがより多くのキチマダニを運び、特に冬に寄生するマダニが増加することがわかった。
 これはマダニがアライグマの体表上で越冬し、春の訪れとともに吸血して、繁殖に備えることを示唆するもの。さらに、マダニはアライグマの顔と耳に集中して寄生していることも確認された。これらの知見は、野生動物管理による感染症予防対策に向けて、アライグマにおけるマダニ調査を定量的で簡便に行う方法を提案するものとなる。
 本成果は、6月6日に日本哺乳類学会の発行する『Mammal Study』で公開され、Vol. 49 (3)に掲載された。

【論文情報】
・掲載誌:Mammal Study
・論文タイトル:Differences of tick infestation intensity by season, sex, age class, and body region of feral raccoons (Procyon lotor) in the Miura Peninsula, Japan.
・著者名:Kandai Doi, Takuya Kato, Minori Kono, Fumiaki Yamasaki and Shin-ichi Hayama


■Mammal Study
 https://www.mammalogy.jp/en/journal/index.html
○国立研究開発法人 森林研究・整備機構 森林総合研究所
 https://www.ffpri.affrc.go.jp/ffpri.html

○日本獣医生命科学大学 野生動物学研究室
 https://www.nvlu.ac.jp/veterinary-medicine/members/019.html/

▼研究に関する問い合わせ先
・国研 森林総合研究所
 研究担当者:野生動物研究領域 土井寛大
 広報担当者:森林総合研究所 企画部広報普及科広報係
 TEL: 029-829-8372
 FAX: 029-874-3720
 E-Mail: kouho@ffpri.affrc.go.jp

・日本獣医生命科学大学
 野生動物学研究室 加藤卓也
 TEL: 0422-31-4151
 FAX: 0422-34-6201
 E-Mail: tkato@nvlu.ac.jp

本件に関するお問い合わせ先

入試課

住所
〒180-8602 東京都武蔵野市境南町1-7-1
TEL
0422-31-4151
FAX
0422-33-2094
E-mail
kouhou@nvlu.ac.jp

添付資料