ページ上部

コロナ禍で65%の人が衣生活に「変化あり」と回答、使い捨てマスクを洗濯して再利用も — 日本女子大学が「衣生活行動の変化」についてアンケート調査を実施

コロナ禍で65%の人が衣生活に「変化あり」と回答、使い捨てマスクを洗濯して再利用も — 日本女子大学が「衣生活行動の変化」についてアンケート調査を実施
新型コロナウイルス感染症の拡大は、世界中の生活者の意識・行動にさまざまな影響を及ぼしている。それは着用や洗濯など、衣生活面でも例外ではないと考えられる。そこで、日本女子大学家政学部被服学科では2020年6~7月、インターネット調査により、全国10代以上の男女1165名にアンケート調査を実施。その結果、コロナ禍の中、65%の人が「衣生活行動に変化があった」と回答。「3人に1人は帰宅後速やかに着用衣類を洗濯する(着替える)」「使い捨てマスクを洗濯して再利用するようになった」など、洗濯に関わるいくつかの衣生活行動の変化を確認することができた。
今回のアンケート調査結果について、同大では「汚れをしっかり落とすことが感染予防の第一歩と考えられるため、今回の結果が日頃の洗濯を見直す機会となることを望みます」と述べている。「調査結果」および「まとめ」は下記の通り。

—————–
■調査結果
—————–
○どの世代でも繊維製品を介した感染を心配し、感染防止意識を高めている
 衣生活行動の変化について衛生管理の点から聞いたところ、3人に2人(65%)は「変化があった」と回答。70代以上と10代が70%を超える高い割合を示し、他の年代も50%以上だった(表1)。「変化は特にない」は、30代が43%と一番高かった。

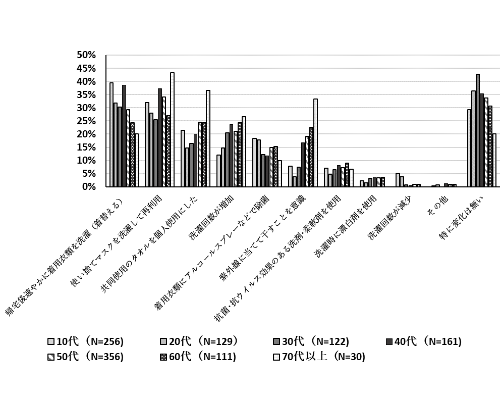
○行動の変化は、「帰宅後速やかに洗濯する(着替える)」と「使い捨てマスクを洗濯して再利用」
 「帰宅後速やかに洗濯する(着替える)」「使い捨てマスクを洗濯して再利用」は、共に32%の回答率を示した(図1)。年代別にみると、「帰宅後速やかに洗濯する(着替える)」は10代・40代の回答率が約40%と最も高く、70代以上が20%と最も低い結果だった。「使い捨てマスクを洗濯して再利用」は、70代以上が45%と最も高く、最も低かったのは30代で25%だった(図2)

○「着用衣類にアルコールスプレーなどで除菌」は若い世代で、
 「紫外線に当てて干すことを意識」は年齢が上がるほど高い傾向が見られた
 洗濯回数が増加した人は19%だったが、「抗菌・抗ウイルス効果のある洗剤・柔軟剤を使用」「洗濯時に漂白剤を使用」の回答は低かった(図1)。「着用衣類にアルコールスプレーなどで除菌」は10代・20代の回答率が高く、帰宅後直ぐに対応できる手軽さが支持されていると思われる。「紫外線に当てて干すことを意識」は、10代~30代は低く、70代以上で約35%と年代が上がるにつれ回答率は高かった(図2)。洗濯物を紫外線に当てて干すという行動は時間帯に制約があるため、それに対応できる年代での回答率が高くなったと推察される。

—————–
■まとめ
—————–
 ”Withコロナ”の状況下では、約7割の人が「マスクの着用」と「人混みの多い場所に行った後は、できるだけすぐに着替えるという”新しい生活様式”を意識するようになった。このように、新型コロナウイルス感染症は、新しい生活様式を生み、収束後もこの生活様式の一部は残っていくことが想定される。

 現在は、手作りマスクをはじめとした”再利用できるマスク”の使用が広がっている。これは洗濯という衛生管理の重要性にもつながる。今回の調査結果が、衛生管理の一つとして、日頃行っている洗濯方法を見直すきっかけになることを期待したい。

—————————————————————-
【参考】家庭洗濯のポイントや注意点について
—————————————————————-
 日ごろ行っている洗濯ですが、ウイルス感染予防のためにも、汚れをしっかり落とす洗濯のポイントをあげてみます。最初に衣類の表示で家庭洗濯できることを確認し、適切な洗濯コースを選びます。
(1)洗濯機へ洗濯物を詰め込み過ぎない
 洗濯物が洗剤液に浸かって洗濯されているかを一度確認しましょう。洗濯物が洗剤液の中で団子状態では、汚れ落ちは悪くなります。水を足すか、洗濯物を減らすようにしましょう。

(2)洗剤は適量入れましょう
 洗濯機に表示された水の量を確認し、水の量に見合った洗剤量を入れます。洗剤量が少ないと汚れ落ちはかなり悪くなります。洗剤容器の表示を参考にしっかり計量します*

(3)漂白剤を活用
 シミが付いていたり、除菌したいときは酸素系漂白剤**も一緒に入れます。事前に、衣類と漂白剤の表示を見比べて使用できるかどうかを確認し、使用量を守り、注意書きを読んで慎重に使います。

(4)しっかり乾燥
 脱水終了後は、すぐに取り出し天日に当てる***などしてしっかり乾燥させます。乾燥しにくい時は乾燥機やアイロンがけで乾燥させましょう。洗濯したものを洗濯機の中に入れっぱなしにしておくと、菌が増殖して汚れや臭いの原因になるので避けましょう。
 洗濯の際は手袋を着用し、洗濯物を触った手も洗うことを忘れないようにしましょう。

* ドラム式の場合は洗剤の表示を参考にしてください。
** 色柄物にも使用できる漂白剤。
*** 取り扱い表示が「日陰干し」の場合は、日陰に干します。

————————————
【マスクのおすすめ洗濯】
————————————
 口に当てる繊維製品のため、洗濯用の中性洗剤を適量溶かした洗剤液の中で”握り洗い”をし、天日に当てて干しましょう。もみ洗いや擦り洗いは表面が毛羽立つので避けます。一般衣類とは別洗いすることをおすすめします。

▼本件に関するお問い合わせ先
 日本女子大学家政学部被服学科 
 担当: 美谷千鶴
 TEL: 03-5981-3477
 E-Mail: mitani@fc.jwu.ac.jp

添付資料